关于印发歙县2024年农村地区适龄妇女“两癌”免费筛查项目实施方案的通知
各乡镇人民政府、各医疗卫生单位:
为贯彻落实《安徽省2024年农村地区适龄妇女“两癌”免费筛查项目实施方案的通知》(皖卫函〔2024〕60号)、《黄山市民生工作领导小组办公室2024年度实施50+1项民生实事的通知》(黄民生办〔2024〕6号)文件精神,结合我县实际,制定《歙县2024年农村地区适龄妇女“两癌”免费筛查项目实施方案》,现印发给你们,请认真组织实施。
歙县卫生健康委员会
2024年5月6日
抄送:市妇计中心、县财政局、县妇联
歙县2024年农村地区适龄妇女“两癌”免费筛查项目实施方案
为提高我县农村地区妇女宫颈癌和乳腺癌(以下简称“两癌”)的早诊早治率,降低“两癌”死亡率,提高广大农村地区妇女健康水平,继续推进农村地区妇女“两癌”免费筛查项目,结合我县妇幼健康服务工作实际,制定本方案。
一、工作目标
(一)年度内完成35-64岁农村地区妇女宫颈癌免费筛查9500人(其中35-45岁妇女4000人),乳腺癌免费筛查4000人。
(二)提高“两癌”筛查质量和效率,促进早诊早治,宫颈癌筛查早诊率达90%以上,乳腺癌早诊率达到70%以上。
(三)普及“两癌”防治知识,提高妇女自我保健意识,适龄妇女宫颈癌、乳腺癌防治知识知晓率达80%以上。
二、项目内容
(一)宫颈癌检查
1.妇科检查:包括询问病史、外阴及阴道检查、盆腔检查及阴道分泌物检查。
2.宫颈脱落细胞学检查(TCT检查):包括取材、标本运送、制片、阅片,TCT检查采用TBS报告系统对宫颈细胞进行评价。
3.阴道镜检查:对宫颈TCT检查结果可疑或异常者,以及肉眼检查异常者进行阴道镜检查。
4.组织病理学检查:对阴道镜检查结果可疑或异常者进行组织病理学检查。
(二)乳腺癌检查
1.乳腺触诊和乳腺彩超检查:包括乳腺视诊、触诊和乳腺彩超检查,乳腺彩超检查结果采用乳腺影像报告和数据系统(BI-RADS分类)进行评估。
2.乳腺X线检查:对乳腺彩超检查BI-RADS分类结果为0类、3类者,进行乳腺X线检查。
3.组织病理检查:对乳腺彩超检查BI-RADS分类结果为4类、5类和乳腺X线检查分类结果为4类、5类者进行组织病理学检查,尊重患者意愿选择医疗机构。
4.对乳腺X线检查0类和3类者应当由副高以上专科医生综合评估后进行短期随访或活检或其他进一步检查。
(三)筛查异常/可疑病例随访管理
随访人员要按照《宫颈癌或乳腺癌筛查异常或可疑病例随访登记表》的要求,加强异常或可疑病例的跟踪随访。要详细收集目标人群的基本信息,特别是联系方式,督促其尽早接受进一步诊治,并及时记录病例相关情况。
1.宫颈癌筛查异常或可疑病例 主要包括宫颈细胞学检查TBS报告结果为未明确意义的不典型鳞状上皮细胞及以上者、肉眼检查异常或可疑者、阴道镜检查异常或可疑者以及组织病理学检查结果为宫颈高级别病变及以上者。
2.乳腺癌检查异常或可疑病例 主要包括乳腺体检异常或可疑者,乳腺彩超检查BI-RADS分类为0类、3类及以上者,乳腺X线检查BI-RADS分类为0类、3类及以上者,病理学检查为小叶原位癌、导管原位癌、浸润性乳腺癌及乳腺其他恶性肿瘤等恶性病变者。
三、项目开展流程
(一)确定筛查机构和接诊机构
歙县妇幼保健计划生育服务中心(以下简称“县妇计中心”)承担“两癌”筛查项目日常管理和技术培训、项目质量评估工作。
宫颈癌初筛机构:县妇计中心、深渡中心卫生院、王村中心卫生院、杞梓里中心卫生院、徽城镇卫生院、璜田中心卫生院。
宫颈癌转诊机构:县妇计中心
乳腺癌初筛机构:县妇计中心
乳腺癌X线转诊机构:县人民医院、县昌仁医院
(二)筛查工作流程
1.调查摸底(2024年5月20日前)
各乡镇政府确定符合条件的妇女名单,编制受检对象花名册,符合条件的妇女持本人身份证按照县统一拟定时间内至各初筛点进行登记建档。
2.医学检查
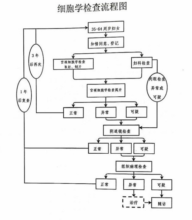
(1)宫颈癌检查流程:
各乡镇政府按照约定日期将受检人群组织至筛查点,凭身份证发放个案表,填写信息,做好登记、编号,签署“知情同意书”;
各初筛机构配合乡镇工作人员做好病史采集,负责妇科检查、初筛取材等,收集临床检查及辅助检查结果,进行质控,提出医学建议,进行分类指导;
县妇计中心负责收集全县TCT检验信息,收到检查结果信息后及时将检查结果反馈给乡镇卫生院;
各乡镇卫生院初筛当天负责做好筛查的个案表、登记本回收及质控,并指导受检者等待TCT结果反馈;
在收到TCT检查结果异常或可疑报告后5个工作日内通知受检者到县妇计中心进行阴道镜检查;
县妇计中心负责对宫颈癌初筛异常者进行阴道镜检查,对阴道镜检查结果异常或可疑者进行组织病理检查,并将组织病理检查结果及时反馈给受检者及乡镇卫生院;
乡镇卫生院在获得组织病理反馈结果后5个工作日内通知筛查对象,3个月内做好跟踪随访并完成个案登记表填写以及电子档案的录入。
(2)乳腺癌医学检查流程:
各乡镇政府按照约定日期将受检人群组织至筛查点,凭身份证发放个案表,填写信息,做好登记、编号,签署“知情同意书”;
县妇计中心组织专业人员对受检妇女进行采集病史、高危评估,乳腺体检和乳腺彩超检查,收集临床检查及辅助检查结果,提出医学建议,进行分类指导。做好筛查的个案表、登记本回收及质控;
县级接诊机构确定专人接待转诊对象,凭《歙县适龄妇女“两癌”免费筛查项目转诊单》对受检对象进行乳腺X线检查,对乳腺X线检查结果为0类、3类的由副高以上专科医生进行综合评估后做好相关记录,并在一周内将检查结果反馈至县妇计中心;
县妇计中心指导检查异常或可疑者进一步检查或治疗并即时反馈给乡镇卫生院;
乡镇卫生院在获得反馈结果后5个工作日内通知筛查对象, 3个月内做好跟踪随访并完成个案登记表填写以及电子档案的录入。
四、加强人员培训和实验室管理
(一)开展逐级培训,提高培训效果。开展县、乡级项目管理员、各医疗保健机构妇保人员、妇产科、检验科、放射科等各类人员培训班,覆盖到所有相关工作人员,进一步提高人员专业素质和技术服务水平。
(二)加强实验室管理,完善相关工作制度,严格实验室质量控制。确保人员、设备、试剂和设置符合要求。在检测过程中严格按照实际说明操作,做好实验记录、档案保管和质量控制。
五、信息管理
(一)县妇计中心、各乡镇政府、卫生院确定专人负责信息的收集、整理、审核和报送工作。所有筛查信息要及时录入和上报,具体要求详见《两癌筛查信息管理手册》(2022年版)。
信息报送内容:
1.民生实事月报《农村地区适龄妇女“两癌”免费筛查工作量统计月报表》。
2.宫颈癌和乳腺癌筛查汇总信息。统计辖区每季度所有宫颈癌和乳腺癌筛查结案个案的汇总数据,生成《宫颈癌筛查季度统计表》、《乳腺癌筛查季度统计表》,审核后上报市妇计中心。
3.宫颈癌和乳腺癌筛查个案信息。收集整理“两癌”个案信息,个案信息需在结案后1个月内报送至信息管理系统。
(二)乡镇卫生院季报表电子版及纸质版、异常/可疑病例随访登记表电子版报至县妇幼保健计划生育服务中心,上报报表时间为每年的5月15日、8月15日、11月15日、次年2月15日,联系人:徐玉娣,联系电话:15056694428,电子版报表上传邮箱:2335083097@qq.com。县妇幼保健计划生育服务中心按照省级方案要求及时上报信息。
六、工作要求
(一)加强组织领导,思想高度统一
项目实施单位要高度重视农村地区适龄妇女“两癌”免费筛查项目,切实加强领导,认真组织部署,明确各自职责,引入考核机制,保证落实到位。各乡镇政府科学规划、合理部署本乡镇筛查工作,并将筛查实施方案报县项目办(设在县妇计中心)。
(二)加强宣传发动,提高筛查知晓率
1.各乡镇政府要发挥宣传发动的主导作用,深入农村、社区、家庭,开展社会宣传,动员妇女主动接受“两癌”筛查,提高群众知晓率和满意度。
2.县项目办积极利用网络、电视等媒体,广泛开展农村妇女“两癌”筛查项目相关政策和妇女健康知识宣传,扩大农村妇女“两癌”筛查项目的社会影响力,帮助广大妇女树立文明健康理念,培养良好的生活方式。
3.医务人员在项目实施过程中,应积极主动地向接受筛查对象宣传“两癌”防治的核心信息,普及健康知识,并为有需求的妇女提供咨询服务。
(三)加强包保措施,确保责任到人
县妇计中心按项目要求,确定专人管理,做好县内培训、任务分解、技术指导、结果反馈、效果评估;做好小组人员的技术培训,准备各种必备设备、医疗用品与耗材以及检查所需各种表格,规范开展“两癌”筛查项目。
各乡镇人民政府负责做好本乡镇筛查对象的摸底调查、造册登记、宣传动员和组织筛查工作,扩大适龄人群受益面。
各乡镇卫生院做好辖区内“两癌”筛查项目的健康教育宣传、信息对接、录入系统、个案管理和随访工作。
(四)加强督导检查、保证管理实效
加强项目监管,定期组织检查,对项目的管理、资金运转、实施情况、质量控制及效果进行督导和评估,各乡镇任务完成数、知晓率、满意度情况纳入年终民生实事和综合绩效考核。
七、经费使用管理
(一)县妇计中心向县卫生健康委报送检查人数和检测项目等情况,经县卫生健康委和县财政局审核批准后,将专项资金按省级要求核定工作量后拨付给项目实施单位。
(二)县卫生健康委加强对项目经费的管理和监督,项目补助资金专款专用,任何单位和个人不得以任何形式骗取、截留、挤占和挪用。一旦发现,要按照有关法律法规,除责令改正、追回有关财政资金外,还要按规定追究有关单位和人员责任。
附件:
1.歙县农村地区适龄妇女“两癌”免费筛查项目工作领导小组
2.歙县农村地区适龄妇女“两癌”免费筛查技术指导小组成员名单
3.歙县2024年农村地区适龄妇女“两癌”免费筛查项目任务分解表
4.宫颈癌筛查流程图
5.乳腺癌筛查流程图
6.宫颈癌防治健康教育核心知识
7.乳腺癌防治健康教育核心知识
附件1
歙县农村地区适龄妇女“两癌”免费筛查
项目工作领导小组
组 长:徐赛美 县卫生健康委党组书记、主任
副组长:汪 强 县红十字会常务副会长
徐玉宏 县卫生健康委副主任
成 员:黄春艳 县卫生健康委妇幼健康股负责人
王美仙 县妇幼保健计划生育服务中心主任
刘海燕 县人民医院院长助理
程 逾 县昌仁医院院长
郑 慎 县妇计中心副主任
领导组下设办公室,在县妇幼保健计划生育服务中心,王美仙兼办公室主任。负责制定项目实施工作方案,对项目实施过程进行督导、评估、监督;加强技术指导,对承担妇女“两癌”检查工作的人员进行培训、考核;对业务技术执行情况进行督导和质量控制;指定项目的初筛机构和接诊机构。负责“两癌”免费筛查工作的组织、协调工作。
附件2
歙县农村地区适龄妇女“两癌”免费筛查技术指导小组成员名单
组 长:王美仙 县妇计中心主任
成 员:汪惠卿 县人民医院妇产科主任
洪勤英 县人民医院外科主任
洪绍平 县人民医院B超室主任
叶剑秋 县人民医院放射科主任
方明勇 县昌仁医院外科主任
江功宝 县昌仁医院放射科主任
郑 慎 县妇计中心副主任
潘楷贵 县妇计中心副主任
潘野清 县妇计中心党支部书记、孕保科科长
余燕华 县妇计中心妇保科科长
郑志敏 县妇计中心主治医师
徐玉娣 县妇计中心主管护师
负责“两癌”免费筛查的技术培训、技术指导;转、接诊、会诊的规范服务、指导。
附件4

附件5

附件6
宫颈癌防治健康教育核心知识
一、什么是宫颈癌?
宫颈癌是发生于宫颈部上皮组织的恶性肿瘤,高危型人乳头瘤病毒(HPV)持续感染是导致宫颈癌的主要原因。
二、宫颈癌有什么症状?
宫颈癌早期常常没有明显症状,随着病情进展,逐渐出现阴 道不规则出血、阴道排液等症状。
三、哪些危险因素与宫颈病变相关?
宫颈癌主要致病因素为高危型HPV持续感染,其他高危因素还包括:1.有宫颈癌等疾病相关家族史;2.性生活过早;3.过早生育(18周岁以前);4.正在接受免疫抑制剂治疗;5.多个性伴或 性伴有多个性伴;6.HIV 感染;7.患有其他性传播疾病;8.吸烟、吸毒者。
四、生活中怎样预防HPV感染?
树立自我保护意识。安全性行为,正确使用避孕套,避免性 传播疾病发生。提倡健康生活方式。
五、接种HPV疫苗可以预防宫颈癌吗?
可以。9-45 周岁女性均可接种HPV疫苗,在此年龄段越早 接种保护效果越好,其中 9-15 周岁女性是重点人群。
六、定期宫颈癌筛查有必要吗?
有必要。35-64周岁妇女应定期接受宫颈癌筛查,并在发现癌前病变时及时治疗,可以阻断病情向宫颈癌发展。
七、女性间隔多长时间做一次宫颈癌筛查?
适龄妇女每 3-5 年进行一次宫颈癌筛查。
八、接种 HPV 疫苗后,是否还需要接受宫颈癌筛查?
需要。无论是否接种HPV疫苗,均需定期接受宫颈癌筛查。
九、国家宫颈癌筛查项目包括哪些内容?
包括妇科检查、宫颈癌初筛(宫颈细胞学检查或高危型HPV
检测),初筛结果异常还需要接受阴道镜检查,并根据检查结果 确定是否需要进行组织病理学检查。
十、细胞学检查或 HPV 检测结果异常需要治疗吗?
细胞学检查或 HPV 检测结果异常都不能作为疾病的最后诊 断,应由专业人员结合检查结果和个体情况进行综合评估,再确 定进一步检查或治疗方案。
附件7
乳腺癌防治健康教育核心知识
一、什么是乳腺癌?
乳腺癌是发生在乳腺上皮组织的恶性肿瘤,近年来发病人数 一直位列我国女性新发恶性肿瘤之首。目前乳腺癌病因尚不完全 明确,但通过控制高危因素可降低乳腺癌发病风险。
二、乳腺癌有哪些典型症状和体征?
乳腺癌典型症状及体征表现为:乳房区域无痛性肿块、乳头 溢液、皮肤改变、乳头乳晕改变、腋窝淋巴结肿大等。
三、乳腺癌高风险人群有哪些?
1.有乳腺癌或卵巢癌家族史;2.月经初潮过早(<12 周岁)或绝经较晚(>55 周岁);3.未育、晚育及未哺乳:4 长期服用外源性雌激素;5.活检证实患有乳腺不典型增生;6.绝经后肥胖;7.长期过量饮酒等。
四、如何降低乳腺癌发病风险?
提倡适龄生育和母乳喂养。提倡健康生活方式。积极治疗不 典型增生等乳腺高危病变。
五、定期乳腺癌筛查有必要吗?
有必要。早期乳腺癌无明显症状或体征,只有定期乳腺癌筛 查,才能尽早发现,通过及时诊断和规范治疗,可显著提高乳腺 癌治愈率,提高生存质量。
六、女性间隔多长时间做一次乳腺癌筛查?
35-64岁妇女应至少每2-3年进行乳腺癌筛查。高风险人群可适当增加筛查频率。
七、国家乳腺癌筛查项目包括哪些内容?
包括乳腺体检、乳腺彩色超声检查,如果初筛结果异常后续 可能还需要接受乳腺 X 线检查、乳腺活检及组织病理检查等。
八、发现乳腺癌后怎么办?
确诊乳腺癌后,应尽快到正规医疗机构进行规范化治疗。
九、乳腺癌的预后怎么样?
早期乳腺癌患者的5年生存率可达90%以上,到晚期下降至 30%左右。通过早发现、早治疗,乳腺癌完全有可能治愈,治疗费用更低,且患者的生存率和生命质量可得到明显提高。
十、乳腺增生一定会发展成乳腺癌吗?
不一定。乳腺增生是一种良性疾病,恶变的可能性很小,不需要过度恐慌,但不典型增生等乳腺高危病变会有恶变为乳腺癌的可能。
政策咨询:歙县妇幼保健计划生育服务中心,电话:0559-6512488。

皖公网安备 34102102000111号
不良信息举报